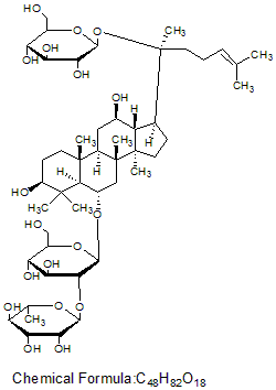
Ginsenoside Re
CAS No: 52286-59-6
IUPAC name: (2S,3R,4R,5R,6S)-2-[(2R,3R,4S,5S,6R)-2-[[(3S,5R,6S,8R,9R,10R,12R,13R,14R,17S)-3,12-dihydroxy-4,4,8,10,14-pentamethyl-17-[(2S)-6-methyl-2-[(2S,3R,4S,5S,6R)-3,4,5-trihydroxy-6-(hydroxymethyl)oxan-2-yl]oxyhept-5-en-2-yl]-2,3,5,6,7,9,11,12,13,15,16,17-dodecahydro-1H-cyclopenta[a]phenanthren-6-yl]oxy]-4,5-dihydroxy-6-(hydroxymethyl)oxan-3-yl]oxy-6-methyloxane-3,4,5-triol
Molecular formula: C48H82O18
Molecular weight: 947.165
Additional information
| Chemical Family | Steroids |
|---|





