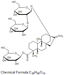
Shatavarin IV
CAS No: 84633-34-1
IUPAC name: (2S,3R,4R,5R,6S)-2-[(2R,3S,4S,5R,6R)-4-hydroxy-2-(hydroxymethyl)-6-[(1R,2S,4S,5’S,6R,7S,8R,9S,12S,13S,16S,18R)-5′,7,9,13-tetramethylspiro[5-oxapentacyclo[10.8.0.02,9.04,8.013,18]icosane-6,2′-oxane]-16-yl]oxy-5-[(2S,3R,4S,5S,6R)-3,4,5-trihydroxy-6-(hydroxymethyl)oxan-2-yl]oxyoxan-3-yl]oxy-6-methyloxane-3,4,5-triol
Molecular formula: C45H74O17
Molecular weight: 887.069















